JAMB - Chemistry (1980)

1
In an attempt to remove sugar from a breaker containing a quantity of sand and sugar, 2 M ammonium chloride solution was accidentally added instead of water. Which of the following method could be used to remove the ammonium chloride from the mixture?
Answer
(D)
Evaporation followed by sublimation
2
The alloy duralumin is used for the building of aeroplanes because it?
Answer
(E)
possesses both strenght and lightness
3
A solution X on mixing with AgNO3 solution, gives a white precipitate solution in NH3. A Solution Y, when added to X, also gives a white precipiate which is soluble on boiling. Solution Y contains?
Answer
(B)
Pb2+ion
4
10cm3 of CO is mixed and sparked with 100cm3 of air containing 21% O2. If all the volumes measured at S.T.P. the volume of resulting gases would be?
Answer
(C)
105cm3
5
A sample of an oxide of mercury weighed 1.00g. When this was heated, oxygen was given off, and 1.00g of mercury metal only was left. What is the formula of the oxide?
Answer
(E)
None of the above
6
On heating, under suitable conditions, 1 litres of monoatomic gas,X, combines with 1½ litres of an oxide, What is the formula of the oxide?
Answer
(A)
XO3
7
If 1 litre of 2.2M sulphuric acid is poured into a bucket containing 10 litre of water,and resulting solution mixed thoroughly, the resulting sulpuric acid concentration will be?
Answer
(E)
0.20 M
8
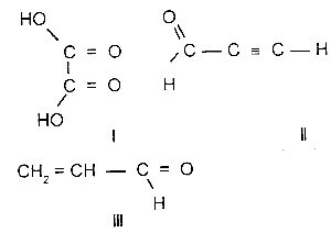
Which of the following reactions is correct as as written?
Answer
(D)
NaOH + H2SO4 → NaHSO4 +H2O
9
Under high pressure, real gases do not obey gas laws because their molecules?
Answer
(B)
have become less energetic
10
How many grams of hydrogen gas will be liberated when 6g of magnesium ribbon dissolves in 500cm3 of 6M HCl?


(Mg=24, H=1, Cl=35.5)
Answer
(C)
0.5 g
11
Which of the following statements is an exception in the assumptions of the kinetic theory of gases?
Answer
(D)
The particles are of negligible mass
12
Which of the following statements is true?
Answer
(E)
Metals lose elections while non-metals gain electron during chemical reactions
13
The boiling point of water is higher than that of methanol because?
Answer
(B)
inter molecular forces in water are stronger than those in methanol
14
Chlorine, bromine and iodine resemble each other in that all?
Answer
(A)
dissolve in alkalis
15
Element X has a total of 19 electrons and can react with oxygen to form an oxide. Which of the following statements is NOT true of the oxide of the element?
Answer
(A)
When exposed to air, it slowy changes to liquid
16
Which ONE of the following statements is true?
Answer
(A)
All alkali metals salts dissolves with dissociation in water
17
When ethene gas reacts with chlorine gas to form 1, 2-dichloroethene, the reaction is called?
Answer
(B)
addition
18
20 cm3 of 1 M H\(_2\)SO\(_4\) is mixed 20 cm\(^3\) of 1 M NaOH. The resulting solution is?
Answer
(A)
acidic with a molarity of 0.50 M H2SO4
19
Which of the following is acceptable as the organic product of the reaction of ethanoic acid and ethanol with an acid catalyst?
Answer
(A)
Ethyl ethanoate
20
Given the mean atomic mass of chlorine prepared in the laboratory to be 35.5 and assuming that chlorine contains two isotopes of mass number 35 nad 37, what is the percentage composition of the isotope of mass number 35?
Answer
(D)
75
21
When dilute hydrochloric acid is added to iron(ll)sulphide, the gas evolved will?
Answer
(C)
blacken lead acetate paper
22
In which of the following is the oxidation state of oxygen different from its value in water?
Answer
(D)
H2O2
23
Which of the following silver halides is readily soluble in ammonium hydroxide?
Answer
(C)
AgCl
24
The chemical reaction which takes place at the anode (positive electrode) in electrolysis is?
Answer
(A)
oxidation
25
Which of the following does NOT happen when a zinc rod is introduced into a solution of copper (ll) sulphate?
Answer
(A)
Electrons flow towards the zinc rod
26
Hardening of an oil may be achieved by?
Answer
(D)
treating the oil with hydrogen and catalyst
27
Hardening of an oil may achieved by?
Answer
(D)
treating the oil with hydrogen and catalyst
28
A cold aqueous solution of sodium chloride is electrolyzed using a graphite anode and an iron cathode. In the course of the electrolysis the electrolyte is continuously stirred. The liquid left after electrolysis will therefore consist of?
Answer
(A)
sodium hydroxide solution
29
The best way of collecting chlorine is?
Answer
(B)
by upward displacement of air
30
Cellulose and starches can be classified as one of the following?
Answer
(D)
carbohydrates
31
If one of the following oxides is heated with hydrogen or carbon using a bunsen burner, it is not reduced to the metal. Which one is it?
Answer
(B)
Magnesium oxide
32
Which of the following statement is false?
Answer
(C)
Acids conduct electricity and are decomposed by the current, liberating hydrogen at the anode
33
A mixture of ethanol, sodium dichromate, and water is allowed to drop gradually into a boiling solution containing one part concentrated H2SO
4 and the liberate gas is collected by cooling it with ice water to give a liquid. This liquid is?
Answer
(A)
ethanoic acid
34
When chlorine gas is passed into a solution of sulphur dioxide?
Answer
(C)
dilute sulphuric acid and hydrochloric acid are produced
35

In the above experiment X is?

Answer
(E)
a mixture of nitrogen and inert gases
36

The IUPAC name for the compound is

Answer
(B)
2, 3- dimethylpent-2-ene
37
Which of the following compounds will take up the molecules of bromine?
Answer
(B)
ll
38

Which of the following is the correct order in the above diagram increasing boiling point, of the isomeric \(C_{5}H_{12}\) compounds?

Answer
(D)
D
39

The following graph demonstrates the rate of reaction between calcium carbonate (marble)and dilute hydrochloric acid. The graph shows that the rate of reaction is initially greatest when

Answer
(C)
the initial slope of the curve is steepest and this occurs when small pieces of marble are used and is due to a large surface area of reactant
40

Copper sulphate solution was electrolysed using the apparatus show above. Which of the following changes are observed?

Answer
(D)
the bulb lights and copper is deposited at the cathode and disappears from the anode
41
The following arrangement of elements in order of decreasing number of outer electrons; One of the elements is wrongly placed. Which is it? ALUMINIUM, CHLORINE, SILICON, MAGNESIUM AND SODIUM.
Answer
(B)
aluminium
42
Which of the following tests would confirm-unequivocally that a solution X contain the sulphate ion if it gives with?
Answer
(E)
barium chloride solution a white precipitate insoluble in dilute HCl
43

When copper (ii) sulphate solution is treated with excess ammonium hydroxide, a precipitate is first formed, and then this dissolves to give a deep blue solution.

This deep blue solution is a?

Answer
(D)
Cu(NH3)4(OH)2
44
Which of the following derivatives of nitrogen affords an aqueous solution having a pH of less that 7?
Answer
(C)
NO2
45
Detergents are more advantageous than soaps in hard water districts because
Answer
(A)
on treatment with hard water they either form soluble calcium salts or do not react with calcium ion