WAEC - Computer Studies (2024)

1
An automatic system is one that
Answer
(D)
requires little or no human intervention to work.
2
Which of the following features of information is not important for meaningful decision? 
Answer
(B)
Competitiveness
3
The microprocessor that controls a washing machine is known as
Answer
(C)
embedded computer.
4
Which of the following statements is true about data? 
Answer
(A)
Information is a product of data while knowledge is a product of information
5
Instructions were written to the first generation computers using 
Answer
(C)
machine language.
6
Addition and subtraction of numbers in Abacus are done using
Answer
(B)
beads.
7
In using the slide rule, multiplication that goes off the scale can be corrected by the following approaches except 
Answer
(A)
resetting the slide.
8
The computer's short-term memory is the 
Answer
(D)
random access memory.
9
Which of the following logic devices is considered as equivalent gate? 
Answer
(B)
EX-NOR
10

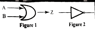
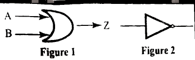
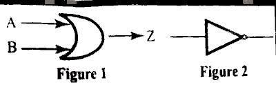
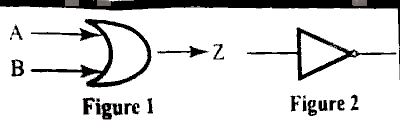
Use the devices in Figures 1 and 2 to answer the questions given that the input variables X and Y have values of 0011 and 0101 respectively as shown in Table 1.

 

 X  Y

 0

 0

 1

 1

 0

 1

 0

 1

Compute the value of the output Z in Figure 1 using the values of X and Y given. 

Answer
(C)
0111
11

Use the devices in Figures 1 and 2 to answer the questions given that the input variables X and Y have values of 0011 and 0101 respectively as shown in Table 1.

 X  Y

 0

 0

 1

 1

 0

 1

 0

 1

If the input variable X in Figure 1 is passed through the device in Figure 2 before going into the logic gate in Figure 1, what will be the value of the output Z? 

Answer
(D)
1110
12

If the input variable Y in Figure 1 is passed through the device in Figure 2 before going into the logic gate in Figure 1, compute the resulting value of the output at Z. 

 X  Y

 0

 0

 1

 1

 0

 1

 0

 1

Answer
(B)
1011
13

Using the given values of X and Y for the device in Figure 1, what will be the value of the output Z if it is passed through the device in Figure 2? 

 X  Y

 0

 0

 1

 1

 0

 1

 0

 1

Answer
(D)
1000
14

 The part labeled Q in Figure 3 is called 

Answer
(C)
memory unit.
15
MS Access is an example of 
Answer
(D)
database management system.
16
 Which of the following statements explains the function of device drivers? They 
Answer
(D)
help to improve the functionality of hardware devices.
17
One usefulness of utility software in the computer is 
Answer
(C)
removal of malware from the computer.
18
Which of the following statements about operating system is false? It 
 
Answer
(D)
protects the computer from surge.
19
Debugging in program development is the process of 
Answer
(A)
fixing errors.
20

Figure 4 is a flowchart symbol. Use it to answer questions this question.

Identify the flowchart symbol in Figure 4. 

Answer
(A)
Decision box
21

Figure 4 is a flowchart symbol. Use it to answer questions this question.

 

The flowchart symbol in Figure 4 is used to 

Answer
(B)
represent a decision-making point.
22
 Which of the following operations will be executed last in a program?  
Answer
(D)
PEMDAS
23
 A The equation x =p + qr +s) can be expressed in Q BASIC programming
Answer
(B)
X = P + Q* (R\S)
24
Which of the following statements is true about the rules of flowcharting?
 
Answer
(A)
All boxes of flowcharts are connected with arrows to show the logical connection between them.
25
In computer programming, it is advised to translate source code into intermediate code to 
Answer
(C)
make it easier to apply the source code modifications to improve code performance.
26
A graphic or text in a document or web page that links to another file or object is referred to 
Answer
(B)
a hyperlink.
27
Instant messages can be sent with little or no tine lag using 
Answer
(D)
chat room,
28
Which of the following statements is true about preventing phishing? 
Answer
(B)
Do not click on links in emails from untrusted sources
29
Which of the following statements is true about star topologies? 
Answer
(B)
Computers are connected to a central device
30
An internet user secures his social  media account by regularly changing passwords. Which of the following passwords produces the best security?
 
Answer
(D)
WASSCESchool-Candidates(@2024
31
Which of the following statements is true about intranet? 
Answer
(B)
Private network that uses internet protocol and is accessible by employees of an organization
32
The art of checking for errors in a Word document before publishing is referred to as 
Answer
(D)
proof reading.
33
Columns in MS Access are referred to as 
Answer
(A)
fields.
34
Which of the following application packages is suitable for making budgets? 
Answer
(B)
Spreadsheet package
35

What happens when a user clicks on the icon in Figure 5 on the Microsoft Excel menu bar?

Answer
(C)
Content on the clipboard is added to the document
36
30. New comment can be added to a cell in MS Excel by using the procedure
Answer
(D)
Review→ Comment.
37

What is the function of the CorelDraw Toolbox object shown in Figure 6? It IS used to

Answer
(D)
select and transform objects.
38
Which of the following statements about index is true? It is a data structure
Answer
(B)
used to quickly locate data without searching every row in a table every time a database table is accessed.
39
A collection of computer wires used to identify memory location in a computer is 
Answer
(D)
address bus.
40
Read Only Memory (ROM) contains  
Answer
(B)
preset instructions for operation.
41
 What happens when the Shift key is pressed down while deleting a file from the computer? The file is 
Answer
(B)
permanently deleted from the computer.
42
Which of the following statements about warm booting is true? The computer 
Answer
(A)
reloads the operating system while still running in the background.
43
The ASCII character set represents alphabetical and control characters using numeric code ranging from 
Answer
(C)
0 to 127.
44
Which of the following hard disk drive memory capacities can store the largest size of data? 
Answer
(A)
2TB
45
The equivalent of the letter A in the standard ASCII is 
Answer
(A)
01000001