JAMB - Mathematics (2009 - No. 43)
In how many ways can a delegation of 3 be chosen from 5 men and 3 women. If at least 1 man and 1 woman must be included?
15
28
30
45
Explanation

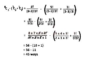
= \((^{5}C_{2} \times ^{3}C_{1}) + (^{5}C_{1} \times ^{3}C_{2})\)
= \((10 \times 3) + (5 \times 3)\)
= 45.
Comments (0)


