JAMB - Chemistry (2008)

1
Chlorophyll obtained from green leaves of plant can be shown to be composed of more than one coloured component by the technique of
Answer
(C)
chromatography
2
In countries where the temperature falls below 273K, salt is always sprinkled on the icy road in order to
Answer
(A)
lower the melting point of the ice
3
2Na(s) + 2H2O(l) → 2NaOH(aq) + H2(g)
From the equation above, calculate the mass of sodium hydroxide produced by 2.3g of sodium.
[H = 1, O = 16, Na = 23]
Answer
(C)
4.00g
4
16.8 g of sodium hydrogen trioxocarbonate (IV) is completely decomposed by heat. Calculate the volume of carbon(IV) oxide given off at s.t.p
[Na 23, C = 12, O = 16, H = 1, Molar volume of a gas at s.t.p = 22.4 dm3]
Answer
(C)
2.24 dm3
5
300 cm3 of gas has a pressure of 800 mmHg. If the pressure is reduced to 650 mmHg, find its volume
Answer
(B)
369.23 cm3
6
Diffusion is slowest in solid particles than in particles of liquid and gases because
Answer
(B)
solid particles have less kinetic energy than the particles of liqiud and gases
7
The experiment that showed that atoms have tiny positively charged nucleus was first carried out by
Answer
(B)
Rutherford
8
The atom of an element X is represented as \(_z^yX\). The basic chemical properties of X depends on the value of
Answer
(B)
Z
9

The diagram above represent the electron sub-level for

Answer
(C)
oxygen
10
In the periodic table, the electrical and thermal conductivities are properties of elements that
Answer
(A)
decrease across the period and increase down the group
11
\( _{11} ^{11}Na + _0^1n → _{11}^{24}Na \)
The reaction above is an example of
Answer
(C)
artificial transmutation
12
Air boiled out of water as steam is richer in
Answer
(B)
carbon (IV) oxide and oxygen
13
In the course of purifying water for town supply the water is passed through large settlings tanks, containing sodium aluminate (III) to remove?
Answer
(C)
fine particles
14
When a few drops of water is added to a blue anhydrous cobalt (II) chloride, the colour changes to
Answer
(B)
pink
15
The vulcanizer's solution is prepared by dissolving rubber in
Answer
(C)
benzene
16
117.0g of sodium chloride was dissolved in 1.0dm3 of distilled water at 25°C. Determine the solubility in mol dm-3 of sodium chloride at that temperature
[Na = 23, Cl = 35.5]
Answer
(B)
2.0
17
The uncovered raw food that is sold along major roads is likely to contain some amounts of
Answer
(A)
Pb
18
What is the pH of 0.001 mol dm-3 solution of sodium hydroxide
Answer
(D)
11
19
The basicity of CH3COOH is
Answer
(A)
1
20
0.05 mol dm-3 HCl is neutralized by 25 cm3 NaOH. If the volume of acid used is 32.00cm3, what is the concentration of the base
Answer
(D)
0.064 mol dm-3
21
Insoluble salts can be prepared by?
Answer
(D)
mixing two soluble compounds containing the metallic radical and the acidic radical
22
The oxidation state of carbon in HCOOH is
Answer
(B)
+2
23
What is the IUPAC nomenclature of the compound NaCIO?
Answer
(A)
sodium oxochlorate (I)
24
In recharging a lead-acid accumulator, the reaction at the cathode can be represented as
Answer
(B)
Pb2+(aq) + 2e- →Pb(s)
25
If a given quantity of electricity liberates 0.65g of Zn2+, what amount of Hg2+ would be liberated by the same quantity of current?
[Zn = 65, Hg = 201]
Answer
(B)
2.01g
26
\(NH_{3(g)} + HCl_{(g)} → NH_4Cl_{(s)}\)
The entropy change in the system above is
Answer
(C)
negative
27
Which of the following reaction is endothermic?
Answer
(C)
C(s) + H2O(g) → CO(g) + H2(g)
28
A catalyst speeds up the rate of chemical reaction by
Answer
(C)
lowering the activation energy of the reaction
29
The rate of a reaction usually decreases with a decrease in the concentration of reactants because
Answer
(D)
reactants collision decrease
30
The substance that is used in the steel industry for the removal of carbon, sulphur and phosphorus impurities from pig iron is
Answer
(A)
oxygen
31
Which of the following compounds of trioxonitrate (V) will decompose to give dinitrogen (i) oxide and water when heated?
Answer
(D)
NH4NO3
32
When a solution of ammonium trioxocarbonate (IV) is added to a solution of an unknown salt, a white precipitate which is soluble in dilute hydrochloric acid but insoluble in ethanoic acid is formed. This indicates the presence of
Answer
(A)
Ca2+
33
Leads is used for making bullets and lead shots because of its
Answer
(C)
high density
34
which of the following gives a precipitate when treated with NaOH solution?
Answer
(A)
AlCl3
35
The most common ores of iron include
Answer
(C)
magnetite, haematite and limonite
36
The type of isomerism shown by cis- and trans- isomers is
Answer
(D)
geometrical isomerism
37
If the silver mirror test is positive, it indicates the presence of an
Answer
(D)
alkanal
38
If glucose is heated with concentration tetraoxosulphate (VI) acid, it will be dehydrated to
Answer
(A)
carbon
39

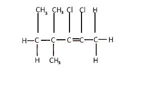
The IUPAC nomenclature for the structure above is

Answer
(C)
2, 3 - dichloro - 4, 4 - dimethyl hex - 2- ene
40
A hydrocarbon X with a molar mass of 26 consists of 92.3% carbon. What is its molecular formular?
Answer
(A)
C2H2
41
A red precipitate of copper (I) carbide is formed when ammonium solution of copper (I) chloride is introduced into
Answer
(B)
CH3 CH2 - C ≡ CH
42
Reduction of nitroalkanes, nitrites and amides is a route for the preparation of
Answer
(A)
amines
43
Reduction of alkanones with LialH4 produces
Answer
(B)
secondary alkanols
44
The product obtained when a mixture of benzene vapour and hydrogen are passed over nickel catalyst at 180ºC is
Answer
(A)
cyclohexane
45
Polyvinyl chloride is used in the production of
Answer
(C)
pipes